14h20 chiều nay 28/06, hơn 01 triệu học sinh lớp 12 đã bắt đầu thi môn Toán, môn thi thứ 02 của kỳ thi Tốt nghiệp Trung học Phổ thông năm 2023. Cùng Kênh tuyến sinh cập nhật đề thi, gợi ý đáp án và đáp án chính thức từ Bộ Giáo dục & Đào tạo (thường sẽ chậm hơn).
Đề thi Toán tốt nghiệp THPT 2023 có 24 mã đề, mỗi mã gồm 50 câu trắc nghiệm, thí sinh làm trong 90 phút.
Đáp án 24 mã đề thi Toán tốt nghiệp THPT 2023 do Tuyensinh247 cung cấp
Đáp án đề thi Toán tốt nghiệp THPT 2023, mã đề 102 (hình bên dưới).

Đáp án đề thi Toán tốt nghiệp THPT 2023, mã đề 103 (hình bên dưới).

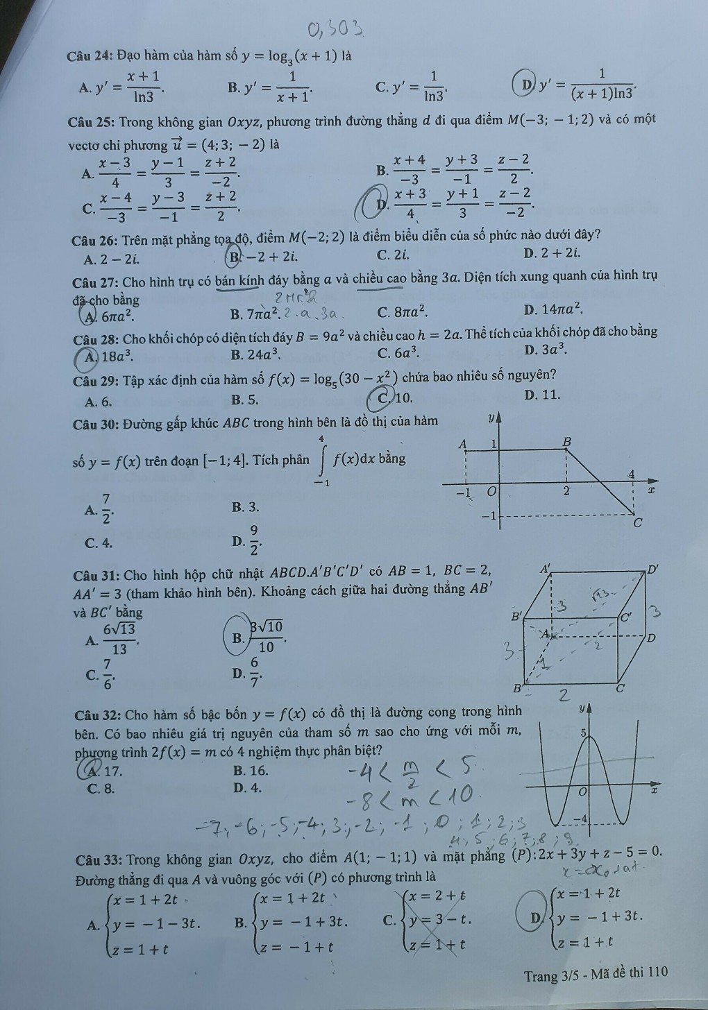
Đáp án đề thi Toán tốt nghiệp THPT 2023, mã đề 104 (hình bên dưới).

Đáp án đề thi Toán tốt nghiệp THPT 2023, mã đề 108 (hình bên dưới).

Đáp án đề thi Toán tốt nghiệp THPT 2023, mã đề 111 (hình bên dưới).

Đáp án đề thi Toán tốt nghiệp THPT 2023, mã đề 118 (hình bên dưới).

Đáp án đề thi Toán tốt nghiệp THPT 2023, mã đề 122 (hình bên dưới).

Đáp án đề thi Toán tốt nghiệp THPT 2023, mã đề 123 (hình bên dưới).

Đáp án đề thi Toán tốt nghiệp THPT 2023, mã đề 124 (hình bên dưới).

---còn cập nhật---
XEM LẠI ĐỀ THI MÔN TOÁN TỐT NGHIỆP THPT 2023
Đề thi môn Toán Tốt nghiệp THPT 2023, Mã đề thi 123





Đề thi môn Toán Tốt nghiệp THPT 2023, Mã đề thi 110





Phổ điểm đề thi Toán những năm gần đây ổn định. Năm ngoái, trong số hơn 980.000 bài thi Toán, điểm trung bình là 6,47, mức điểm mà nhiều thí sinh đạt được nhất là 7,8 điểm. Cả nước có 35 thí sinh đạt điểm 10. Số thí sinh bị điểm dưới trung bình là hơn 186.000, chiếm gần 19% tổng số thí sinh của cả nước.

Kỳ thi tốt nghiệp THPT năm 2023 diễn ra trong hai ngày 28-29/6. Thí sinh làm ba bài thi độc lập gồm Toán, Ngữ văn, Ngoại ngữ và một trong hai bài tổ hợp là Khoa học tự nhiên (Vật lý, Hóa học, Sinh học) và Khoa học xã hội (Lịch sử, Địa lý, Giáo dục công dân đối với thí sinh học chương trình giáo dục phổ thông; hoặc Lịch sử, Địa lý đối với thí sinh học chương trình giáo dục thường xuyên). Nội dung thi chủ yếu là chương trình lớp 12.
Năm nay, cả nước có hơn một triệu thí sinh dự thi tốt nghiệp THPT. Trong đó, hơn 943.300 thí sinh sử dụng kết quả vừa để xét công nhận tốt nghiệp, vừa để xét tuyển vào các trường đại học, cao đẳng.
Có hơn 3.500 thí sinh bỏ thi tốt nghiệp THPT môn Ngữ văn, 11 em vi phạm quy chế thi, theo thống kê của Bộ Giáo dục và Đào tạo.
Bộ Giáo dục và Đào tạo trưa 28/6 cho biết toàn quốc có hơn 1.012.000 thí sinh đăng ký dự thi môn Ngữ văn. Số thí sinh đến thi sáng nay là hơn 1.008.500, chiếm tỷ lệ 99,65%.
Có 11 thí sinh vi phạm quy chế thi. Tuy nhiên, Bộ không thông tin những em này vi phạm ở mức độ nào. Theo quy chế, thí sinh bị trừ 25-50% điểm hoặc hủy toàn bộ kết quả thi tốt nghiệp THPT, tùy mức độ.
*Kênh tuyển sinh sẽ cập nhật ngay khi có đề thi & đáp án đến quý phụ huynh, học sinh. Còn nhiều môn thi phía sau, nên sĩ tử hãy bình tĩnh và giữ niềm tin, sức khỏe tốt nhé.
ĐÁP ÁN CÁC MÔN THI TỐT NGHIỆP THPT 2023
- Đáp án môn tiếng Anh
- Đáp án môn Lý
- Đáp án môn Toán
- Đáp án môn Văn
- Đáp án môn Hóa
- Đáp án môn Sinh
- Đáp án môn Sử
- Đáp án môn Địa
- Đáp án môn GDCD
Tổng hợp từ Hocmai, Tuyensinh247, VnExpress.




