14h chiều nay 6/6/2023, hơn 96.300 thí sinh ở TP.HCM đã làm bài thi môn Tiếng Anh trong kỳ thi tuyển sinh lớp 10 năm 2023, sau môn Văn sáng cùng ngày. Thời gian làm bài thi môn ngoại ngữ này là 90 phút. Kênh tuyển sinh sẽ tổng hợp và cập nhật nhanh & chính xác nhất đáp án đề thi môn Tiếng Anh tuyển sinh lớp 10 TP.HCM năm 2023.
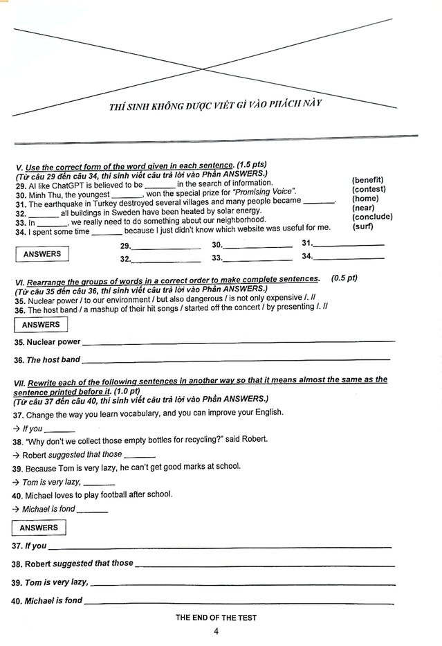
Xem Đề thi tiếng Anh vào lớp 10 công lập dài bốn trang với 40 câu hỏi trắc nghiệm và tự luận ((4 hình bên dưới).




Đáp án đề thi môn tiếng Anh lớp 10 công lập ở TPHCM chiều 6/6/2023.


Kỳ thi tuyển sinh vào lớp 10 công lập ở TP HCM diễn ra vào ngày 6, 7/6 với ba môn Toán, Ngữ văn (120 phút) và Ngoại ngữ (90 phút). Những em thi vào lớp 10 chuyên hoặc chương trình Tiếng Anh tích hợp sẽ thi thêm môn chuyên và tích hợp.

Năm nay, TP HCM có khoảng 110.000 học sinh tốt nghiệp THCS. Học sinh không đăng ký thi vào lớp 10 có thể học tiếp tại các trường THPT ngoài công lập, trung tâm giáo dục thường xuyên, trường nghề.
Kênh tuyển sinh sẽ cập nhật trang này ngay khi nhận được đáp án gợi ý từ Ban tư vấn, chuyên gia giáo dục...
Trong khi chờ đợi, quý phụ huynh và học sinh có thể tham khảo một số bài viết hay về bí quyết học giỏi môn tiếng Anh.
- Học tiếng Anh bao nhiêu giờ một ngày?
- TOP 10 sai lầm khi học tiếng Anh ONLINE
- Mất gốc nghe tiếng Anh thì nên học thế nào?
Kênh tuyển sinh tổng hợp.







