Thời điểm diễn ra kỳ thi THPT 2019 sắp đến, các sĩ tử đang tập trung ôn luyện, củng cố kiến thức để bước vào kỳ thi với tâm thế tốt nhất. Trong đó luyện đề là một trong những cách giúp học sinh làm quen với kỹ năng làm bài thi trắc nghiệm.
> Thi thử THPT quốc gia 2019: Đề thi thử và đáp án môn Toán ở Quảng Nam
> Đề thi thử THPT quốc gia môn Toán của trường THPT chuyên KHTN
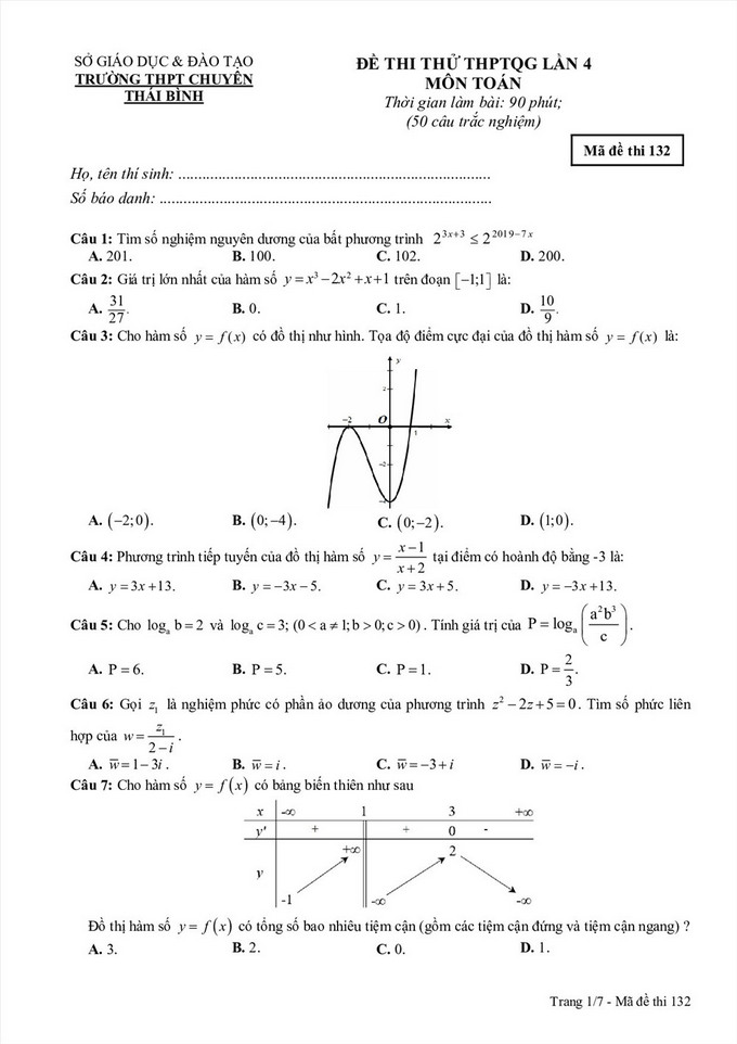
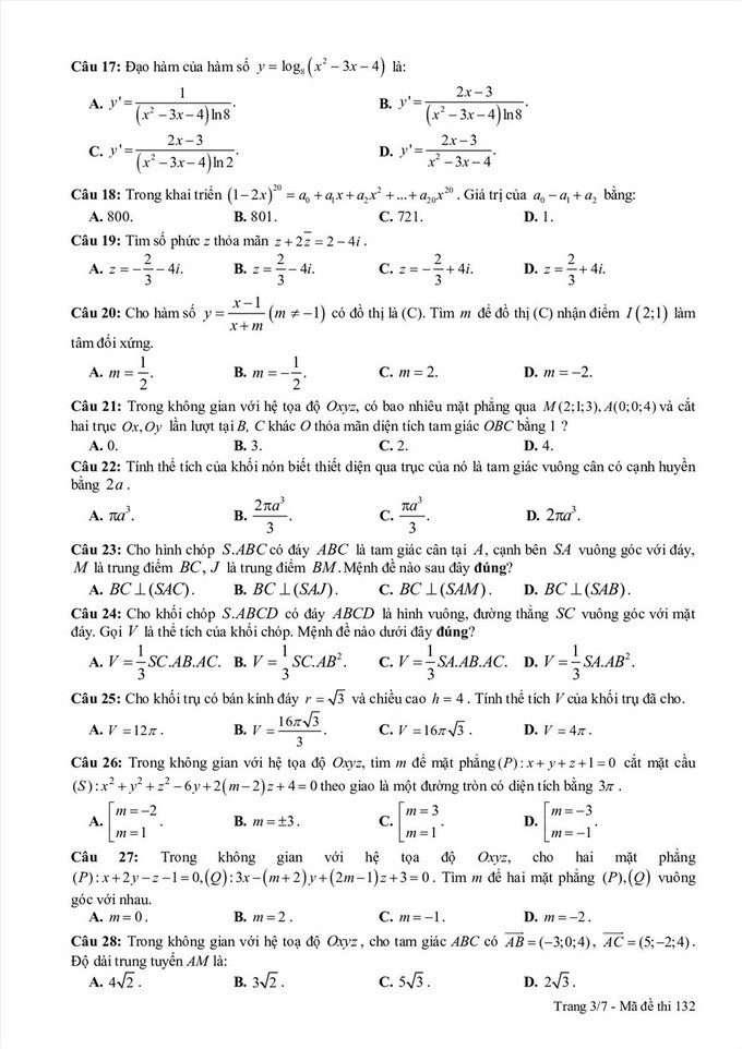
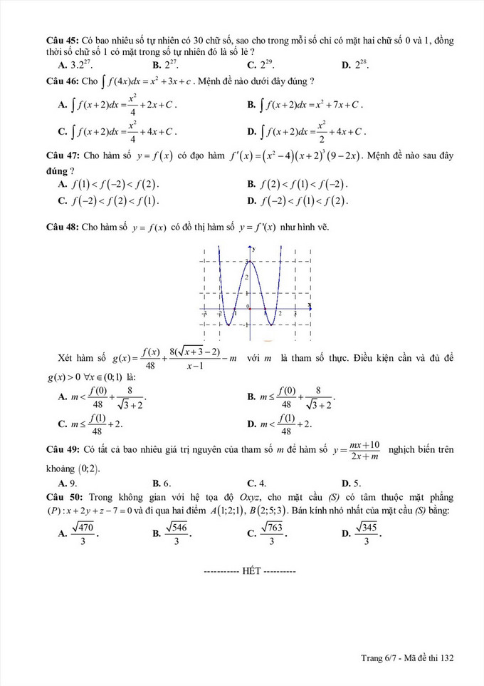
Dưới đây là đề thi thử THPT quốc gia 2019 môn Toán của Trường THPT chuyên Thái Bình để học sinh ôn luyện và tham khảo. Như những đề thi thử khác thời gian làm bài là 90 phút với 50 câu trắc nghiệm.






Đáp án mã đề 132 đề thi thử môn Toán trường THPT chuyên Thái Bình

Theo Lao động





