Để chuẩn bị cho kỳ thi THPT quốc gia 2019, trường THPT chuyên Khoa học tự nhiên (Đại học Khoa học Tự nhiên, ĐH Quốc gia Hà Nội) công bố đề thi thử môn Toán nhằm giúp giáo viên và học sinh có thể tham khảo, làm quen với dạng đề thi trước khi thi chính thức.
> Bộ đề thi tham khảo THPT quốc gia 2019 và đáp án các môn thi
> Chú ý gì khi ôn tập môn tiếng Anh thi THPT quốc gia 2019?
Đề thi thử môn Toán kỳ thi THPT quốc gia
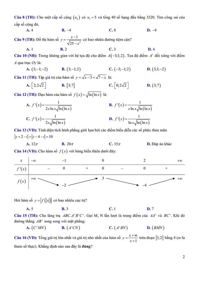
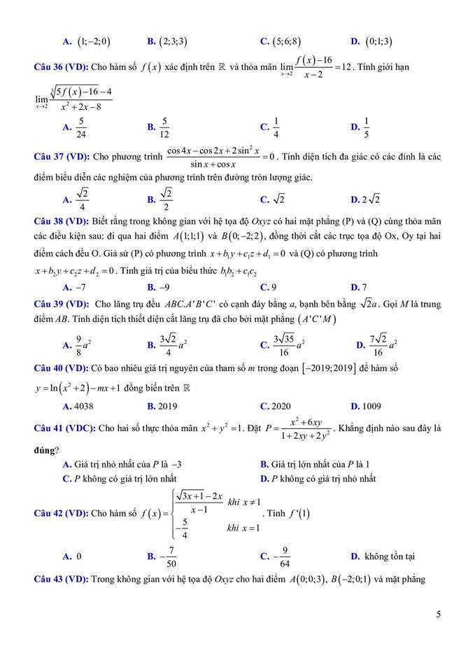
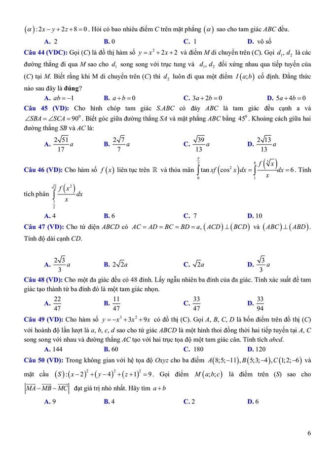
Đề thi có 50 câu hỏi ở dạng trắc nghiệm khách quan, thí sinh làm bài trong thời gian 90 phút:






Đáp án

Theo Lao động





