Kỳ thi THPT Quốc gia 2019 đang đến gần, Sở GD &ĐT tỉnh Quảng Nam tổ chức thi thử các môn giúp phân loại, đánh giá học sinh, để có những định hướng giúp học sinh ôn tập cũng như rèn luyện kỹ năng làm bài, đặc biệt là bài thi trắc nghiệm.
> Thi thử THPT quốc gia 2019: Đề thi và đáp án môn Toán ở Bắc Ninh
> Đề thi thử THPT quốc gia môn Toán của trường THPT chuyên KHTN
Đề thi thử THPT quốc gia 2019 môn Toán tỉnh Quảng Nam
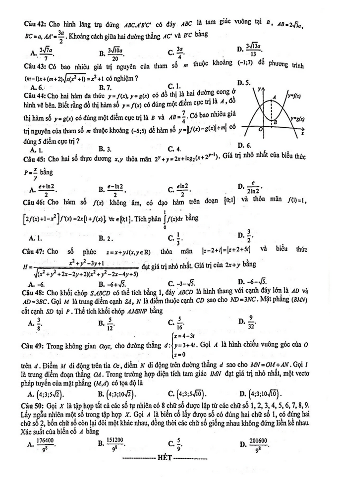
Đề thi thử môn Toán của Sở GD và ĐT tỉnh Quảng Nam gồm 50 câu trắc ngiệm với mức độ khó trải dài, thời gian làm bài là 90 phút.




Đáp án đề thi thử THPT quốc gia 2019 môn Toán tỉnh Quảng Nam

Đáp án mã đề 101 đề thi thử môn Toán tỉnh Quảng Nam
Theo Lao Động





