Đáp án đề thi thử tốt nghiệp 2016 môn Toán












Sau đây là đáp án đề thi thử môn Toán THPT quốc gia 2016 do thầy Nguyễn Bá Tuấn (Giảng viên Đại học Công nghiệp Hà Nội) thực hiện:
Cũng theo thầy Tuấn: “Đây là đề khá hay và bám sát cấu trúc đề THPT quốc gia năm 2015. Nó cũng đúng theo xu hướng ra đề mà trước đó Bộ GD&ĐT đã công bố.
Cụ thể, các câu được bố trí từ dễ đến khó: Từ câu 1 đến câu 5 đều hết sức cơ bản, câu 6 có nâng lên một chút và câu 6b có tính phân loại tốt. Đến câu 7 vẫn là câu truyền thống với 2 ý là tính thể tích và tính khoảng cách. Với câu này học sinh luôn có 2 phương án để làm là dùng hình học không gian cổ điển và phương pháp tọa độ hóa.
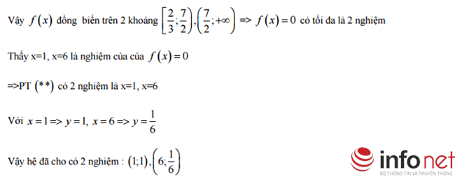
Các câu 8, 9, 10 có tính phân loại cao. Câu 8 không dễ phát hiện về mối liên hệ giữa các đường trong tam giác vuông, đây cũng là câu thể hiện sự sáng tạo của đề thi. Câu 9 tương đối hay với sự lồng ghép phương pháp đánh giá vào trong phương trình 1, sau khi thực hiện xong được biến đổi này thi bài toán trở về phương trình vô tỉ truyền thống với việc sử dụng phương pháp liên hợp.
Câu này học sinh có thể làm theo nhiều cách. Câu 10 là câu đủ độ khó khi mà áp lực về thời gian cho các câu trước đó không hề nhỏ. Để phát hiện ra việc đánh giá yz cần có sự tinh tế và kinh nghiệm của học sinh. Đòi hỏi học sinh phải luyện tập rất nhiều để có kĩ năng xử lí nhanh câu này.
Nhìn chung, đây là đề hay và đi đúng xu hướng ra đề của Bộ GD&ĐT xứng đáng là một đề để phân loại học sinh và dùng để tuyển sinh vào các trường ĐH.
Tham dự cuộc thi này, một học sinh lớp 12D2 trường THPT Trần Phú cho hay: “Đề thi thử môn Toán THPT quốc gia hơi khó với sức của em. Câu số 9 em chỉ là được một nửa còn câu 10 thì không là được. Với đề này khả năng em sẽ được 7 điểm. Tuy nhiên, cũng có nhiều bạn cùng phòng em làm rất nhanh, 2/3 thời gian đã nộp bài rồi”.
Theo Infonet, nguồn: http://infonet.vn/ha-noi-dap-an-de-thi-thu-mon-toan-thpt-quoc-gia-2016-post196678.info






