
Đồng hành cùng học sinh trong kỳ thi tuyển sinh lớp 10 tại TP.HCM, chúng tôi sẽ đăng tải gợi ý giải đề thi, nhận xét đề thi các môn thi của kỳ thi này.
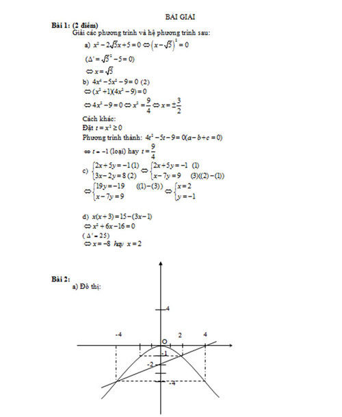
Gợi ý giải đề thi môn toán lớp 10 TP.HCM
Theo thông tin từ Sở GD-ĐT TP.HCM, ngày 15.6 sẽ khai mạc, họp hội đồng chấm thi. Dự kiến ngày 22.6 sẽ công bố điểm thi tuyển sinh lớp 10.
Sau đó, thí sinh có thể nộp đơn phúc khảo từ ngày 22-24.6. Dự kiến ngày 23.6 sẽ công bố điểm chuẩn trường chuyên. Điểm chuẩn trường thường sẽ được công bố vào ngày 11.7.



Theo Thanh niên, nguồn: http://thanhnien.vn/giao-duc/goi-y-giai-de-thi-mon-toan-lop-10-tphcm-712697.html





