Đáp án đề thi môn Toán tốt nghiệp THPT quốc gia năm 2016 tham khảo





Đề thi tốt nghiệp THPT Quốc gia môn Toán 2016

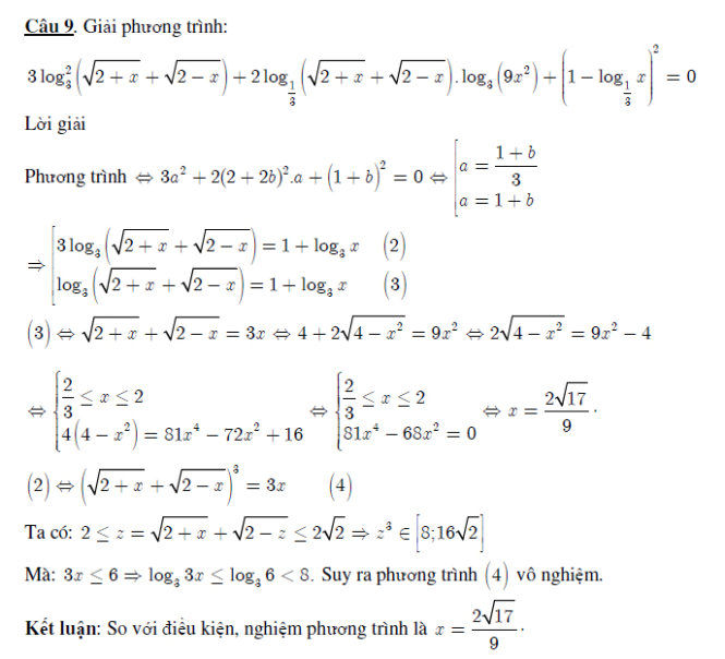
Đề thi tốt nghiệp THPT Quốc gia môn Toán 2016 được ra theo hình thức tự luận trong thời gian 180 phút.
Sáng nay (1/7), gần 900.000 thí sinh trên cả nước đã chính thức bắt đầu kỳ thi THPT Quốc gia năm 2016. Trong buổi sáng, các thí sinh làm bài thi môn Toán trong thời gian 180 phút.
Đề thi môn Toán được ra theo hình thức tự luận. Giờ phát đề cho thí sinh là 7h25, giờ bắt đầu làm bài là 7h30 phút.
Báo Giao thông sẽ cập nhật sớm nhất đề thi chính thức môn Toán THPT Quốc gia năm 2016 và gợi ý đáp án nhanh nhất từ thầy cô và học sinh.
Trong buổi chiều, các thí sinh sẽ làm bài thi môn Ngoại ngữ trong thời gian 90 phút.
Kỳ thi THPT quốc gia 2016 diễn ra từ ngày 1/7 đến 4/7, thí sinh sẽ thi 8 môn: Toán, Ngữ văn, Lịch sử, Địa lý (hình thức tự luận, thời gian 180 phút); Vật lý, Hóa học, Sinh học (trắc nghiệm, thời gian 90 phút). Riêng môn Ngoại ngữ có 2 phần thi viết và trắc nghiệm.
Theo dự kiến, ngày 20/7, kết quả kỳ thi THPT Quốc gia sẽ được công bố. Các sở GD&ĐT sẽ công bố kết quả xét tốt nghiệp THPT cho thí sinh trước ngày 1/8.
Những thí sinh đầu tiên rời phòng thi than đề Toán khó
Em Trần Phúc Khánh trường THPT nguyễn Trãi Tp Đà Nẵng cho biết đề gồm̀ 10 câu, 5 câu đầu tương đối dễ, nói về số phức, tích phân, khảo sát hàm số. Khánh nhận định đề khó hơn năm trước . Em chỉ làm được khoảng 50%.
Tại điểm thi Trường ĐH Vinh, Nghệ An, thí sinh Nguyễn Xuân Thông, trường THPT Hà Huy Tập - một trong ba thí sinh ra sớm nhất tại điểm thi này cho biết cấu trúc đề thi môn Toán không có nhiều thay đổi so với các năm trước, nhưng phần lý thuyết hơi nặng, chiếm 60-70% đề thi, có hai câu hỏi khó ở câu số 8 và 10 Thông không làm được.
"Em làm được khoảng 7/10 câu, một caU không chắc chắn lắm nên nghì mình chỉ kiếm được 6 điểm môn Toán", Thông nói. Ghi nhận thời tiết sau giờ kết thúc môn Toán tại Nghệ An khá oi bức, nóng nực.
Hết 2/3 thời gian, điểm thi tại Trung Tâm giáo dục thường xuyên tỉnh Đắk Lắk mới chỉ một thí sinh rời phòng thi. Bạn Hồ Quốc Thái cho rằng đề phần lớn nằm ở nội dung mũ và logarit. "Ba câu cuối khó quá đành phải bỏ qua và ra về. Do chỉ cần làm đủ điểm tốt nghiệp nên không cần phải quá lo về ba câu này", Thái nói.
Tổng hợp





