Khác với đề thi môn Toán hệ thường, đề chuyên năm nay của khu vực Hà Nội vào lớp 10 được đánh giá khó hơn rất nhiều. Nhiều thí sinh và giáo viên cho rằng, đề thi chuyên Toán khó dẫn đến điểm sàn chung sẽ giảm so với mọi năm.
Xem thêm:
>>> Đề Toán vào 10 tại Hà Nội: “Khá dễ”
>>> Gợi ý đáp án môn Văn thi tuyển sinh lớp 10 tại Hà Nội
>>> Đề thi môn Văn tuyến sinh lớp 10 dễ thở, thí sinh dễ lấy điểm cao
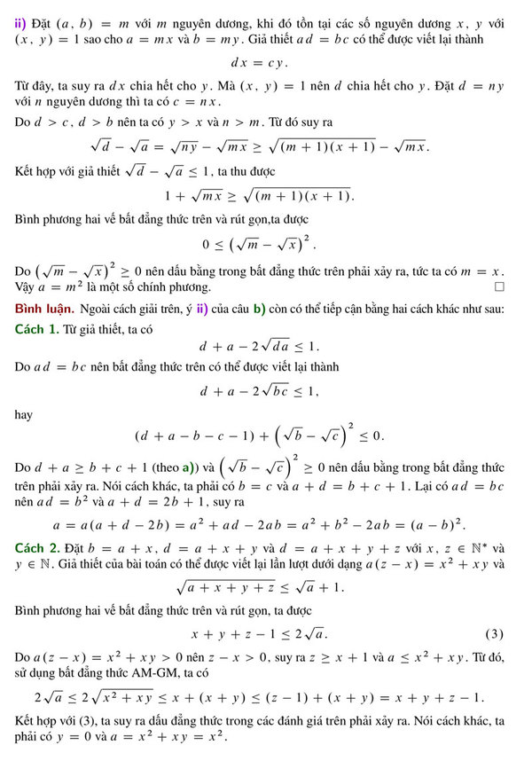
Dưới đây là gợi ý đáp án đề thi chuyên Toán tuyển sinh lớp 10 Hà Nội:







Theo vnexpress.com
Xem thêm:
>>> Lưu ý các trường hợp bị điểm 0 trong kì thi tuyển sinh lớp 10 tại Hà Nội
>>> Kì thi vào 10 tại Hà Nội: “Giảm nội dung đánh đố, bớt thủ tục rườm rà cho học sinh”
>>> Huy động gần hết giáo viên coi thi tuyển sinh lớp 10 tại khu vực Hà Nội





