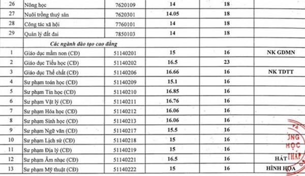
Trường Đại học Đồng Tháp đã công bố điểm chuẩn điểm chuẩn đại học 2018 của 29 ngành đào tạo thuộc hệ đại học và 13 ngành thuộc hệ cao đẳng xét theo điểm thi THPT quốc gia và học bạ lớp 12.
> ĐH An Giang công bố điểm chuẩn 2018
> Đại học Công nghệ Thông tin TP.HCM công bố điểm chuẩn đại học 2018
Điểm chuẩn đại học 2018 các ngành thuộc Trường Đại học Đồng Tháp cụ thể như sau:



Kênh Tuyển Sinh tổng hợp
> ĐH Y dược Thái Nguyên công bố điểm chuẩn 2018
> Đại học Sư phạm Kỹ thuật TP.HCM công bố điểm chuẩn đại học 2018





