Anh Huy
Tham gia ngày: 28/01/2019
Xin chào! Tôi là Tèo Em, là một trong những tác giả viết tin tức cho Kênh Tuyển sinh. Các bài viết của tôi luôn được thực hiện với mong muốn đem lại những thông tin, kiến thức mới nhất; tư vấn, giải đáp các thắc mắc cho các bạn học sinh - sinh viên trên cả nước.
Đậu tốt nghiệp THPT sẽ xấp xỉ 100%?

Đậu tốt nghiệp THPT sẽ xấp xỉ 100%?

Với cách ra đề thi như kỳ thi THPT quốc gia, nhiều chuyên gia cho rằng tỉ lệ học sinh đậu tốt nghiệp sẽ xấp xỉ 100%
Thời gian thi tốt nghiệp THPT quốc gia năm 2016 vẫn giữ nguyên?

Thời gian thi tốt nghiệp THPT quốc gia năm 2016 vẫn giữ nguyên?

Ngay sau cuộc họp báo chiều 4/7, thứ trưởng GD&ĐT Nguyễn Vinh Hiển đã trao đổi cùng phóng viên báo Tiền Phong về chấm thi thế nào để đảm bảo...
Tuyển sinh ĐH sẽ theo hướng cạnh tranh cao

Tuyển sinh ĐH sẽ theo hướng cạnh tranh cao

Kỳ thi THPT quốc gia kết thúc nhưng cách ra đề thi với mục tiêu kép cũng như việc xử lý tình huống phát sinh trong kỳ thi này vẫn...
Ngưỡng xét tuyển đầu vào theo tổ hợp môn

Ngưỡng xét tuyển đầu vào theo tổ hợp môn

Tại buổi làm việc tại cụm thi ĐH Đà Nẵng ngày 4.7, Thứ trưởng Bùi Văn Ga chỉ đạo tất cả các trường phải nhanh chóng triển khai việc thực...
Kỳ thi THPT quốc gia khó gấp 3 lần so với những kỳ thi trước đây?

Kỳ thi THPT quốc gia khó gấp 3 lần so với những kỳ thi trước đây?

Các trường tổ chức kỳ thi THPT Quốc gia năm 2015, cho rằng: Để tổ chức kỳ thi hai trong một năm nay, họ thấy khó gấp 3 lần so...
Thí sinh xét tuyển ĐH bị đình chỉ, xét tốt nghiệp như thế nào?

Thí sinh xét tuyển ĐH bị đình chỉ, xét tốt nghiệp như thế nào?

Bộ Giáo dục và Đào tạo đã lý giải về hình thức kỷ luật đối với những thí sinh vi phạm quy chế.
Điểm xét tuyển sẽ cao hơn

Điểm xét tuyển sẽ cao hơn

Sau khi kết thúc kỳ thi THPT quốc gia, nhận định ban đầu từ các trường ĐH và CĐ cho thấy nhiều khả năng điểm xét tuyển cũng như điểm...
Điểm tin tuyển sinh 2015 ngày 6/7

Điểm tin tuyển sinh 2015 ngày 6/7

Điểm tin tuyển sinh 2015 ngày 6/7: Những ngành Sư phạm tạm dừng xét tuyển; Thanh Hóa: chỉ 1 thí sinh thi ngoại ngữ Nhật; Đề nghị giới thiệu nơi...
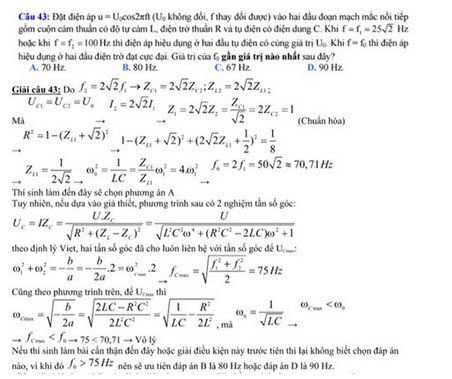
Đề thi Vật lý THPT quốc gia gây tranh cãi

Đề thi Vật lý THPT quốc gia gây tranh cãi

Ngay sau khi Bộ GD&ĐT công bố đáp án chính thức các môn thi THPT, có nhiều ý kiến trái chiều xoay quanh chuyện: Đề bài câu điện xoay chiều...
Những hình ảnh ấn tượng trong kỳ thi THPT quốc gia

Những hình ảnh ấn tượng trong kỳ thi THPT quốc gia

Kỳ thi THPT Quốc gia 2015 đã khép lại, giữa cái nắng nóng thiêu đốt, những lo lắng, hồi hộp, thấp thỏm, trông mong; những trái tim nhiệt huyết, không...
Kết thúc Kỳ thi THPT quốc gia: Sẽ chọn những "hạt giống" thực sự

Kết thúc Kỳ thi THPT quốc gia: Sẽ chọn những "hạt giống" thực sự

Lần đầu tiên tổ chức kỳ thi “2 trong 1” với mục tiêu đổi mới hoàn toàn cách ra đề thi, tổ chức thi… mà đích cuối cùng là giảm...
Thi THPT quốc gia 2015: Giám thị sai đừng đẩy cái khó về phía thí sinh

Thi THPT quốc gia 2015: Giám thị sai đừng đẩy cái khó về phía thí sinh

Nếu giám thị (hoặc hội đồng thi) sợ trách nhiệm, sợ bị kỷ luật mà không thông báo lên cấp cao hơn để kịp thời xử lý thì rất đáng...