Sau khi làm bài Ngữ Văn, chiều 7/7, thí sinh tiến hành làm bài thi môn Toán trong kỳ thi tốt nghiệp THPT 2021 đợt 1. Đề thi bao gồm 50 câu trắc nghiệm, với tổng thời gian làm bài là 90 phút.
XEM THÊM: Đề thi & Đáp án môn Ngữ Văn tốt nghiệp THPT quốc gia 2021
ĐÁP ÁN CHÍNH THỨC ĐỀ THI TOÁN TỐT NGHIỆP THPT 2021 TỪ BỘ GD&ĐT
Xem đáp án chính thức bài thi Toán tốt nghiệp THPT 2021 do Bộ GD&ĐT công bố TẠI ĐÂY.
ĐỀ THI TOÁN CHÍNH THỨC TỐT NGHIỆP THPT 2021
Mã đề 109





Đề thi chính thức môn Toán THPT 2021 của Bộ GD-ĐT mã đề 109
Mã đề 119





Đề thi chính thức môn Toán THPT 2021 của Bộ GD-ĐT mã đề 119
Mã đề 121





Đề thi chính thức môn Toán THPT 2021 của Bộ GD-ĐT mã đề 121
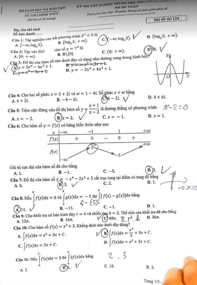
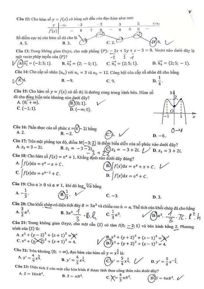
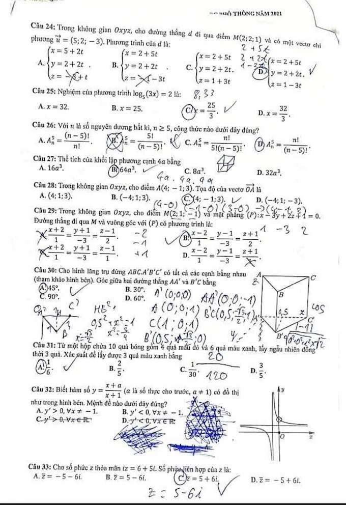
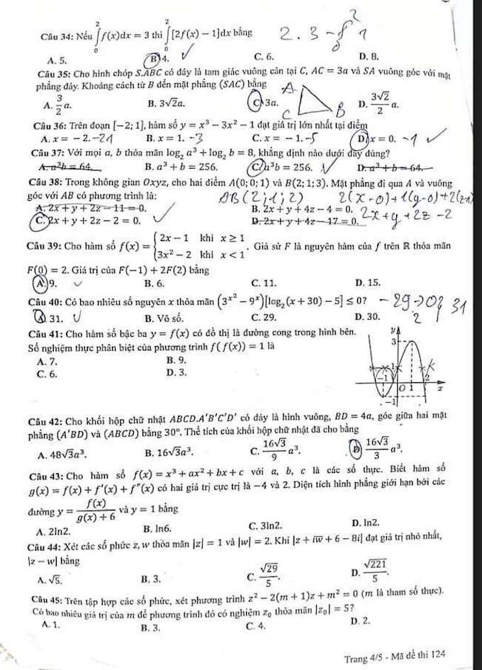
Mã đề 124





Đề thi chính thức môn Toán THPT 2021 của Bộ GD-ĐT mã đề 124
(Lưu ý: Đề thi được tham khảo từ thí sinh. Đáp án được đánh dấu trong đề là của thí sinh dự thi, chỉ mang tính chất tham khảo)
Ngày mai 8.7, thí sinh sẽ tiến hành làm bài thi tổ hợp Khoa học Tự nhiên hoặc Khoa học Xã hội và bài thi Ngoại Ngữ.

Lịch thi tốt nghiệp THPT 2021 đợt 1 của Bộ GD&ĐT
XEM THÊM: CÁCH TÍNH ĐIỂM XÉT TỐT NGHIỆP THPT 2021.
Cập nhật tin tức thi tốt nghiệp THPT 2021 mới nhất: TẠI ĐÂY.
Theo Kênh Tuyển Sinh tổng hợp





