Đáp án đề thi môn Toán tốt nghiệp THPT quốc gia năm 2016 tham khảo
Đáp án đầy đủ đề thi tốt nghiệp THPT quốc gia môn Toán từ Thanhnien



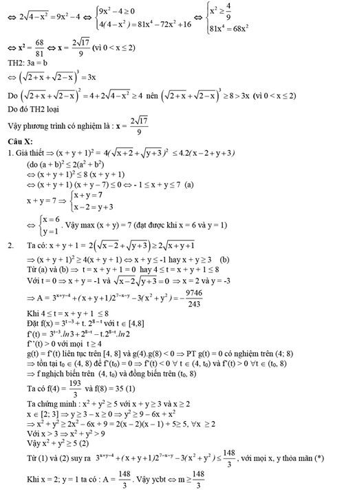
Đáp án đề thi tốt nghiệp THPT quốc gia môn Toán từ Hocmai.vn






Đề thi môn Toán THPT quốc gia 2016

Tin tức nổi bật trong buổi thi tốt nghiệp THPT quốc gia môn Toán 2016
Sáng nay 1/7 kỳ thi THPT quốc gia 2016 đã bắt đầu với môn thi đầu tiên là môn toán. Môn toán sẽ được thi với hình thức làm bài tự luận với thời gian 180 phút. Thí sinh bắt đầu làm bài từ lúc 7h30 phút và kết thúc bài thi lúc 10h30 phút.
Phương thức chấm điểm từ trên xuống dưới, đúng đến đâu tính điểm đến đó đồng nghĩa với việc sai ở đâu sẽ không được tính điểm ở phần biến đổi tiếp theo dù ra kết quả đúng nên thí sinh phải rất cẩn thận khi làm bài.
Môn toán sẽ có lượng thí sinh thi rất đông do là một trong ba môn thi bắt buộc để xét tốt nghiệp THPT cùng với các môn ngữ văn và ngoại ngữ.
Hôm qua 30/6 gần 900.000 thí sinh cả nước đã làm thủ tục dự thi THPT quốc gia năm 2016, nhận thẻ dự thi và đính chính các sai sót (nếu có). Bộ GD-ĐT cho biết, đề thi có sự phân hóa, từ cơ bản đến khó, đến rất khó đảm bảo cho những học sinh chỉ học những kiến thức cơ bản, rất cơ bản là sẽ đỗ tốt nghiệp.
Theo thống kê của Bộ GD-ĐT tổng số thí sinh dự thi THPT quốc gia năm nay gần 887.400 (giảm hơn 118.200 so với năm 2015). Số thi chỉ để xét tốt nghiệp THPT là hơn 286.100, số thi để xét tốt nghiệp THPT và xét tuyển vào các trường đại học, cao đẳng gần 519.500. Số thi chỉ để xét tuyển sinh vào các trường đại học, cao đẳng (thí sinh tự do) là 81.770.
Năm nay có tất cả 70 cụm thi được đặt tại các tỉnh, thành phố trên khắp cả nước, trong đó có 5 cụm thi đặt tại TP.Hà Nội, 4 cụm thi tại TP.HCM. So với năm ngoái, năm nay thí sinh đi lại dễ dàng hơn vì mỗi tỉnh đều có cụm thi do trường đại học chủ trì dành cho thí sinh xét tốt nghiệp và xét tuyển đại học, cao đẳng (năm ngoái là 2 tỉnh một cụm).
Trong các buổi thi thí sinh sẽ được giám thị nhắc lại quy chế. Các em chỉ được mang vào phòng thi bút viết, bút chì, compa, tẩy, thước kẻ, thước tính, máy tính bỏ túi không có chức năng soạn thảo văn bản và không có thẻ nhớ. Atlat Địa lý Việt Nam đối với môn thi Địa lý, các loại máy ghi âm và ghi hình chỉ có chức năng ghi thông tin mà không truyền được thông tin.
Phụ huynh và người nhà đưa thí sinh đi thi chú ý nhắc nhở và theo dõi các em tránh mắc phải các lỗi do sơ xuất không cố ý dẫn đến vi phạm không đáng có.
Bí quyết giải đáp án đề thi môn toán tốt nghiệp THPT năm 21016 đạt điểm cao
Môn Toán là môn thi đầu tiên và là môn chính được khá nhiều thí sinh chú trọng. Kinh nghiệm các chuyên gia về môn toán học gợi ý cho thấy việc khở đẩu luôn chiến vai trò ý nghĩa quan trọng. Vì do là môn thi đầu tiên , trong lúc giải đề thi môn toán tốt nghiệp và đại học nếu gặp trục trặc sẽ ảnh hưởng rất lớn đến tâm lý của các môn khác.
Thời gian thi môn toán là 180p vì vậy các bạn cần lên chiến thuật những bài dễ làm trước và tâp trung dành thời gian để giải các bài toán khó. Bên cạnh đó hãy quên đi sự có mặt của bài toán cuối cùng, thường là bài toán về Bất Đẳng Thức –Cực trị ( chỉ dành cho những học sinh thật sự xuất sắc ). Như vậy ta chỉ còn giải quyết 8 bài toán còn lại và ta còn những ….170 phút .
Một trình tự tốt nhất để tìm đáp án đề thi THPT quốc gia môn Toán là giải quyết các bài toán từ dễ tới khó. Những bài khó thường là phương trình lượng giác, khảo sát hàm số, số phức, tích phân, logarit, tọa độ không gian, hình học không gian, hệ phương trình, giải tích phẳng, và cuối cùng là Bất Đẳng Thức . Tuy nhiên trong thời gian giải, nếu trong vòng 10 phút không tìm được hướng đi thì nên bỏ qua để làm bài khác rồi quay lại giải quyết nếu còn thời gian.
Với kinh nghiệm trên các sĩ tử có thể tham khảo và chuẩn bị tốt cho kỳ thi tốt nghiệp THPT năm 2016. Chúc các sĩ tử thi tốt!