Đáp án và thang điểm môn Toán 2015
Đáp án đề thi tốt nghiệp THPT Quốc gia môn toán năm 2015. Đáp án gợi ý môn toán cho các phụ huynh và sĩ tử tham khảo trong khi chờ đáp án chính thức của Bộ GD-ĐT.
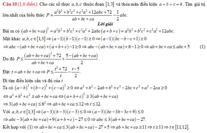
Đáp án đề thi tốt nghiệp THPT Quốc gia môn toán năm 2015
|
|
|
|
|
|
|
|
|
|
|
|
|
| |
|
|
|
|
|
|
|
|
|
|
|
Gợi ý đáp án được giải bởi giáo viên trung tâm Moon.vn
Đề thi Toán có câu hỏi về dịch MERS
Sáng 1/7, thí sinh dự thi môn đầu tiên trong đợt thi kéo dài 4 ngày. Dưới đây là đề thi chính thức môn Toán kỳ thi THPT quốc gia năm 2015.
![]() |













