Những tư duy cần thay đổi để có điểm cao bài thi trắc nghiệm Toán
Mới đây, Hệ thống giáo dục Hocmai đã chỉ ra những điểm khác nhau về phương châm, thời gian và quy trình làm bài của hai hình thức thi tự luận và trắc nghiệm. Qua đó, thí sinh cần phải thay đổi tư duy trước hình thức thi mới để có bài thi hiệu quả nhất.

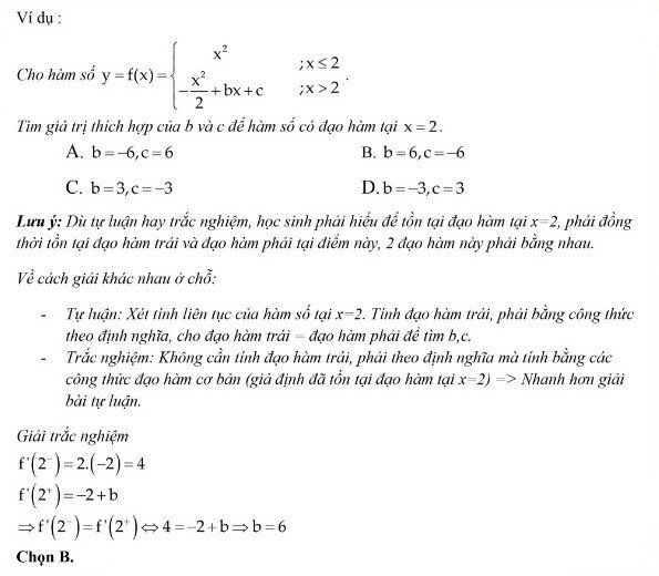
Những điểm khác biệt giữa hai hình thức thi mà thí sinh cần biết để thay đổi tư duy ôn tập và làm bài thi. (Ảnh: Hocmai.vn)
Điểm khác biệt trước tiên mà thí sinh cần phải thay đổi đó là lối tư duy “chậm mà chắc”, thay vào đó các em cần thực hiện các thao tác giải Toán nhanh hơn. Bởi với hình thức thi tự luận, trung bình mỗi câu, học sinh có từ 15-20 phút để suy nghĩ và trình bày, thì với bài thi trắc nghiệm các em sẽ chỉ có khoảng từ 1,5- 3 phút để tìm ra đáp án cho một câu.
Thay vì tư duy phân tích dữ kiện là tối quan trọng ở cách thi tự luận, với thi trắc nghiệm thì việc phân tích phương án là hết sức quan trọng. Bởi nếu biết cách phân tích, nhiều câu hỏi học sinh có thể tìm ra được đáp án nhờ kết hợp phương pháp loại trừ đáp án nhiễu.

Phương pháp loại trừ cần được vận dụng để dễ dàng hơn trong việc tìm ra đáp án nhanh chóng.
Do đó, quy trình làm bài thi trắc nghiệm có thể được định hình như sau: Đọc đề - Đọc phương án – Loại trừ phương án sai – Nhận diện dạng bài – Phương pháp giải.

Với hình thức thi trắc nghiệm, việc tìm ra đáp án cuối cùng là quan trọng nhất. Điều này khác hẳn với thi tự luận trước đây, mỗi bước giải đều được chấm điểm, thậm chí chưa ra đáp án vẫn có điểm.
Do đó, với hình thức thi này, thí sinh cần lưu ý việc đầu tư hoặc thói quen trình bày “vở sạch, chữ đẹp” là không quá cần thiết.

Tuy nhiên, dù thi theo hình thức gì đi chăng nữa việc nắm chắc kiến thức vẫn là điều quan trọng để thí sinh có thể tự tin khi bước vào bài thi.
Thi THPT Quốc gia 2017. Tuyển sinh 2017
Theo Vietnamnet, nguồn: http://vietnamnet.vn/vn/giao-duc/tuyen-sinh/332138/nhung-tu-duy-can-thay-doi-de-co-diem-cao-bai-thi-trac-nghiem-toan.html





