Kết thúc ngày thi thứ nhất môn Văn lớp 10 thường có 69.951 học sinh dự thi vắng 520 em, môn Ngoại ngữ có 69.940 em dự thi vắng 531 em. Đối với môn Văn đề thi được đánh giá là khá thú vị và với những câu hỏi mở rộng giúp các em tư duy tốt. Môn tiếng Anh mặc dù cấu trúc đề thi giống như mọi năm nhưng đề có phần nâng cao hơn so với năm trước về từ vựng và một số điểm ngữ pháp.
Sáng ngày 12/6, gần 78.000 thí sinh tại TPHCM dự thi vào lớp 10 THPT năm học 2015 - 2016 với môn thi Toán đây cũng là môn thi cuối cùng kết thúc kỳ thi tuyển sinh lớp 10 tại TPHCM.
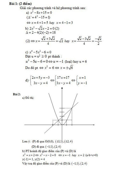
Đề thi Toán lớp 10 năm 2015 TP.HCM

Đáp án đề thi Toán lớp 10 năm 2015 TP.HCM
Đề thi và đáp án đề thi môn Toán lớp 10 năm 2015 chính thức tại Hà Nội. Bài giải của TS.Nguyễn Phú Vnhx ( Trung tâm luyện thi Vĩnh Viên - TP.HCM).


Đáp án chính thức của Sở GD-ĐT TP.HCM sẽ được công bố vào ngày 15/6
|
Thời gian công bố điểm thi vào lớp 10 TPHCM năm 2015
Ngày 21/6 lên điểm thi và công bố điểm vào ngày 22/6. Sau đó, học sinh làm đơn phúc khảo từ 22-24/6. Hội đồng phúc khảo làm việc từ ngày 26/6 và công bố kết quả phúc khảo vào ngày 29/6.
Điểm chuẩn vào lớp 10 không chuyên sẽ được công bố vào ngày 11/7. Đối với lớp 10 chuyên công bố điểm chuẩn vào 23/6. Từ ngày 23-25/6 học sinh nộp hồ sơ vào lớp chuyên, sau thời gian này nếu các em đỗ nhưng không nạp hồ sơ vào học trường chuyên vẫn làm hồ sơ xét nguyện vọng vào lớp 10 thường.
Một số tin tức nổi bật về kỳ thi tuyển sinh lớp 10 môn Tiếng Anh ở Hà Nội
Kỳ thi lớp 10 tại TP.HCM: Đề toán tương đối khó: Ngày 12/6, nhận xét về môn toán kỳ thi tuyển sinh vào lớp 10 tại TPHCM, nhiều thí sinh cho rằng đề thi tương đối khó.
Đề Toán năm nay có 5 câu, thời gian làm bài 120 phút. Tại hội đồng thi Trường THCS Hoàng Hoa Thám (quận Tân Bình), em Nguyễn Ngọc Như Quỳnh (Trường THCS Ngô Sĩ Liên) cho biết: “Đề thi tương đối khó, đặc biệt là câu 3 và câu 5 đòi hỏi phải học sinh khá giỏi mới có thể làm được. Với đề thi này em làm được khoảng 6 điểm”.
Trong khi đó, em Bảo Trân (Trường THCS Hoàng Hoa Thám) cho rằng: “Đề khó ở câu 3, các câu còn lại không có gì đánh đố. Với đề thi này em làm được khoảng hơn 7 điểm”





