Chiều ngày 2/6, các thí sinh ở Hà Nội đã tham gia kỳ thi tuyến sinh lớp 10 môn Toán. Một số giáo viên nhận xét đề thi khá hay và có tính phân loại.
> Đề thi lớp 10 Hà Nội: Học sinh dễ dàng lấy điểm 8 môn Văn
> Đề thi lớp 10 môn Toán của trường THPT chuyên Sư phạm Hà Nội
Đề thi môn Toán kỳ thi tuyển sinh 10 Hà Nội
Dưới đây là đề thi môn Toán, kỳ thi vào lớp 10 THPT của Hà Nội, năm học 2019-2020, thời gian làm bài 120 phút:

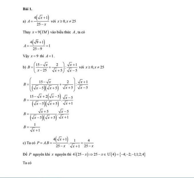
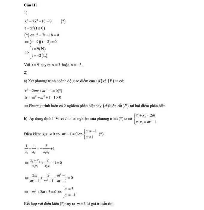
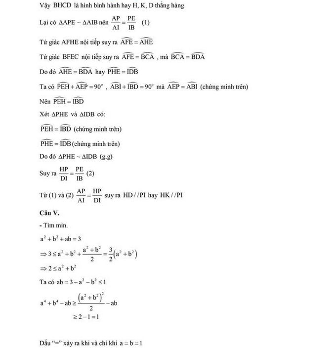
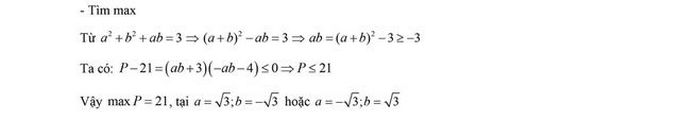
Gợi ý đáp án môn Toán kỳ thi tuyến sinh 10 Hà Nội







Theo Dân trí





