
Nhận xét về đề thi minh họa, thầy Phan Văn Thôn - giáo viên Trường THPT Mai Thanh Thế (Sóc Trăng) - cho rằng: Một trong những thách thức khi thi THPT quốc gia 2017 với thí sinh là thời gian. Với số lượng câu là 50, thời gian 90 phút, như vậy, trung bình một câu thí sinh có 1 phút 48 giây để hoàn thành.
Do đó, học sinh phải rèn luyện tư duy suy luận nhanh và sử dụng công cụ hỗ trợ đó là máy tính cầm tay để làm được mỗi câu trong thời gian ít nhất.
Dưới đây là chia sẻ của thầy Phan Văn Thôn về một số kĩ năng sử dụng máy tính cầm tay để giải quyết một số dạng toán trong chương khảo sát hàm số và chương hàm số mũ - logarit.
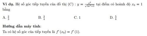
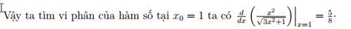
Ứng dụng máy tính vào tìm vi phân

![]()
Thầy Thôn cho rằng: Nếu chúng ta giải theo cách thông thường ta tính đạo hàm rồi thế Xo = 1 vào thì rất mất thời gian và đối với học sinh yếu thì chưa chắc tính đạo hàm được, còn khi dùng máy tính chỉ cần dạy thao tác tìm vi phân cho học sinh thì các em sẽ làm bài được.
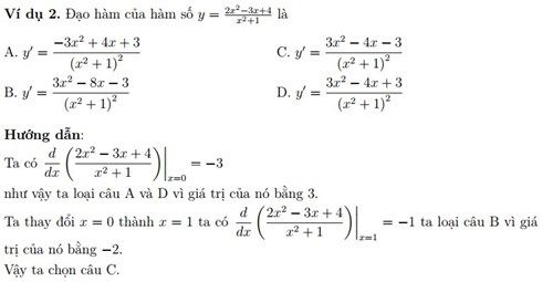
Ứng dụng máy tính vào tìm đạo hàm

Ta thấy, chỉ một thao tác máy tính ta sẽ giải quyết được bài toán, do đó ít mất thời gian hơn. Thầy Phan Văn Thôn lưu ý: Chọn giá trị x mà giá trị của các câu trả lời dễ tính; chọn giá trị x mà giá trị của các câu trả lời không giống nhau; mang tính chất loại trừ nếu giống kết quả của đáp án thì ta chưa chọn câu trả lời đó.

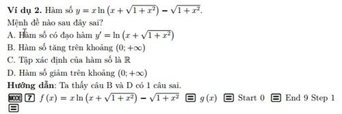
Ứng dụng máy tính vào tính đơn điệu của hàm số
![]()

Thầy Phan Văn Thôn nhận xét: Nếu giải quyết bài toán trên theo cách thông thường, ta phải đạo hàm và xét dấu đạo hàm rất phức tạp; chỉ cần dạy học sinh bám sát định nghĩa tính đơn điệu của hàm số và cách lập bảng tính trên máy tính cầm tay là ta giải quyết được.
Chú ý: Bảng tính chỉ tính được 10 giá trị nên ta chọn giá trị đầu, cuối và bước nhảy cho phù hợp. Chỉ mang tính chất loại trừ.

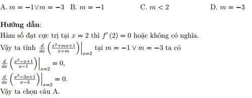
Ứng dụng máy tính vào cực trị




Ứng dụng máy tính vào giải bất phương trình

![]()

Ứng dụng máy tính cầm tay vào rút gọn, chứng minh biểu thức


Sau khi thực hiện giảng dạy như trên, thầy Phan Văn Thôn cho biết, thời gian làm bài của học sinh ngắn hơn; kỹ năng suy luận của học sinh nhanh hơn; học sinh có thể giải quyết bài toán nhanh lẹ mà không cần phải giải.
Trong thời gian tới, thầy Thôn cho biết, các giáo viên tổ Toán của trường sẽ trao đổi bàn bạc nội dung của từng chương để xem trong chương đó có những dạng toán nào mà sử dụng được máy tính, kĩ thuật sử dụng ra sao; đồng thời dạy kĩ năng sử dụng máy tính cho học sinh để giải quyết bài toán.
"Giáo viên, học sinh trong quá trình dạy và học đã hình thành thói quen dạy học theo hình thức tự luận nên chú trọng về phương pháp giải, thuật toán và làm bài như thế nào đừng cho mất điểm từng phần chứ chưa rèn luyện kĩ năng giải quyết một bài toán trong thời gian ngắn nhất.
Tuyen sinh 2017
Theo GDTĐ, nguồn: http://giaoducthoidai.vn/trao-doi/cach-su-dung-may-tinh-cam-tay-de-giai-nhanh-toan-thi-thpt-quoc-gia-2017-2587780-v.html
